Preparing for the SSC CGL exam and want to improve your score in the quantitative aptitude section, then, solve questions on fractions for SSC CGL. You may have studied this topic during your school time, and most of you scored good marks at that time. But let me remind you again of this topic if you have forgotten, because SSC can ask questions in the SSC CGL 2025 Tier 1 exam. This blog is for those candidates who have forgotten this topic or are preparing for the CGL 2025 exam. We have covered this topic from basic concepts to SSC-level questions. Along with that, we have provided an advanced-level free mock test for overall exam preparation.
Fractions for SSC CGL: Basic Concept and Formulas
A fraction represents a part of a whole. It is written in the form:

Where:
- a is the numerator (number of parts taken)
- b is the denominator (total number of parts)
Types of Fractions:
| Type of Fraction | Description | Example |
|---|---|---|
| Proper Fraction | Numerator < Denominator | 3/5, 7/10 |
| Improper Fraction | Numerator ≥ Denominator | 5/3, 9/4 |
| Mixed Fraction | Whole + Proper Fraction | 1⅔, 3¾ |
| Like Fractions | Same denominators | 3/7, 5/7 |
| Unlike Fractions | Different denominators | 2/5, 3/8 |
| Equivalent Fractions | Represent the same value | 1/2 = 2/4 = 4/8 |
Basic Operations on Fractions
Addition and Subtraction
- If denominators are the same:

- If denominators are different:
Find LCM of denominators and convert to like fractions.
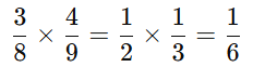
Example:

Multiplication: Multiply numerators and denominators:

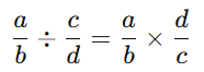
Division: Multiply by the reciprocal:

SSC CGL Fraction Questions: Download Free PDF
Here we have provided the questions on fractions for SSC CGL exam preparation. Along with that, we have provided a PDF that consists of solutions. You are advised to first go through the basic concept and formulas that we have provided above and then solve these questions. After solving the questions, go through our solutions so that you can understand how to solve those questions.
Question 1: Find the option that gives the correct ascending order of the given 4 fractions:

A)

B)

C)

D)

Question 2: A fraction is in the form of (x/y). If (x + y) = 83 and also {(x + 5y)/(y + 77)} = (7/4), then find the difference between ‘x’ and ‘y’.
A) 37
B) 35
C) 27
D) 39
Question 3: A fraction becomes 25/21 when 25% of numerator is added to its numerator and 23% of denominator is subtracted from its denominator. Find the original fraction.
A) 11/15
B) 10/11
C) 11/16
D) 5/6
Question 4: If (2/3)rd of ‘x’ exceeds (2/5)th of ‘x’ by 16, then find the value of ‘x’.
A) 160
B) 80
C) 120
D) 60
Question 5: The sum of numerator and denominator of a fraction is 78. If two is added to the numerator and 5 is added to the denominator of the fraction, then it becomes (5/12). Find the difference between numerator and denominator of the original fraction.
A) 38
B) 37
C) 36
D) 32
Question 6: Among the given four options, which one is the largest?
A) (5/11)
B) (7/13)
C) (4/7)
D) (1/3)
Question 7: When the numerator and denominator of a fraction is increased by 40% and 20%, respectively, the resultant ratio obtained is 7:9. Find the sum of the numerator and the denominator of the original fraction given that its denominator is 15 more than the numerator.
A) 65
B) 75
C) 70
D) 60
Question 8: When a fraction is multiplied by 10 the result obtained is 8. Find the value obtained when 2.2 is added to that fraction.
A) 2.5
B) 3
C) 3.5
D) 2.8
Question 9: If 4 times a number exceeds (4/5) times of itself by 48, then find that number.
A) 12
B) 15
C) 18
D) 16
Question 10: Find the simplified value of the given expression:

A) 91/15
B) 701/135
C) 753/135
D) 53/27
Tips to Solve Fractions Questions Easily and Timely in SSC CGL Exam
Fraction questions are easy to solve, but most of you failed to attempt these questions in the exam due to the limited time. To solve these problems, you should have a good practice on these questions and should know how to use tips and tricks. Below, we have provided some tips that will help you solve these questions easily and quickly.
1. Convert Mixed Fractions to Improper Fractions: Before performing any operation (add, subtract, multiply, divide), always convert mixed fractions to improper fractions. Doing this will allow you to simplify the fraction easily.

2. Simplify Before Solving: Always cancel out common factors before multiplying. This reduces calculation time and avoids large numbers.

3. Find LCM for Addition/Subtraction: When dealing with unlike denominators in addition or subtraction, find the LCM to create like fractions.

4. Use Reciprocals for Division: To divide fractions, multiply by the reciprocal of the second fraction.

5. Remember Common Fraction → Decimal/Percentage Conversions: Memorize these for quicker calculations:
- 1/2 = 0.5 = 50%
- 1/3 ≈ 0.333 = 33.33%
- 2/5 = 0.4 = 40%
- 3/4 = 0.75 = 75%
6. Practice Fraction Questions Under Time Constraint: As we know, the SSC CGL exam will be time-bounded, so practice questions under time constraints as much as possible. For that, you can attempt our SSC CGL speed test and free topic-wise tests. This will help you improve your fast problem-solving skills.
Join our exclusive Telegram group for expert guidance, personalized tips, and real-time solutions to boost your SSC exam prep. [Click here to join now!]
| Other Blogs of SSC CGL 2025 | |
| SSC CGL Notification | SSC CGL Syllabus |
| SSC CGL Study Plan | SSC CGL Exam Pattern |
| SSC CGL Cut Off | SSC CGL Preparation Strategy |
| SSC CGL Previous Year Question Papers | |
FAQs: Fractions for SSC CGL
A fraction represents a part of a whole, written as numerator over denominator (a/b).
Yes, fractions are frequently used in simplification, arithmetic, and data interpretation questions in SSC CGL.
You can get the fraction questions for SSC CGL in this blog.
Practice daily under time limits and use tricks like LCM and the reciprocal method for faster solving.
Yes, remembering common conversions like 1/2 = 0.5 helps save time in exams.
You can download free PDFs or attempt mock tests linked in this blog for practice.
- Sign Up on Practicemock for Updated Current Affairs, Topic Tests and Mini Mocks
- Sign Up Here to Download Free Study Material
Free Mock Tests for the Upcoming Exams
- IBPS PO Free Mock Test
- RBI Grade B Free Mock Test
- IBPS SO Free Mock Test
- NABARD Grade A Free Mock Test
- SSC CGL Free Mock Test
- IBPS Clerk Free Mock Test
- IBPS RRB PO Free Mock Test
- IBPS RRB Clerk Free Mock Test
- RRB NTPC Free Mock Test
- SSC MTS Free Mock Test
- SSC Stenographer Free Mock Test
- GATE Mechanical Free Mock Test
- GATE Civil Free Mock Test
- RRB ALP Free Mock Test
- SSC CPO Free Mock Test
- AFCAT Free Mock Test
- SEBI Grade A Free Mock Test
- IFSCA Grade A Free Mock Test
- RRB JE Free Mock Test
- Free Banking Live Test
- Free SSC Live Test


