If you’re preparing for the SSC CGL or any other competitive exam, then you must master the Counting of Figures reasoning questions. These questions look easy, but they can take up your time if you have not practiced well. In the SSC CGL 2025 exam, you can expect at least 1-2 questions in the Tier 1 exam. Most candidates get confused while solving these questions, but if you have practiced well for the exam, then you can easily attempt these questions in very little time. In this blog, we have provided the basic concepts, types, tricks, and exam-level Counting of Figures questions for SSC CGL. You can also download a free PDF with solutions and attempt a free mock test using the links provided below.
Counting of Figures – Basic Concept, Types, and Much More
Counting of Figures falls under Non-Verbal Reasoning. It involves identifying and counting geometrical shapes like triangles, squares, rectangles, circles, or even composite figures in complex diagrams.
Skills Tested:
- Visual analysis
- Pattern recognition
- Attention to detail
- Speed and accuracy
Types of Counting of Figures Questions in SSC CGL
Here are the four common types asked in the SSC CGL and similar exams:
Type 1: Counting Triangles
This is the most frequently asked type.
Concept:
- Count all possible triangles: small, medium, large.
- Look for intersecting lines that form hidden triangles.
Tip: Label each vertex (A, B, C…) and count in a structured order.
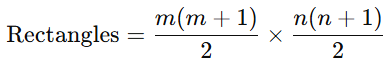
Type 2: Counting Squares and Rectangles
You’ll often see grids or overlapping squares.
Concepts:
- Squares in an n × n grid:

- Rectangles in m × n grid:

Type 3: Counting Circles / Semi-Circles
Rare but sometimes included.
Concept:
- Count both full and half circles.
- Watch out for overlapping or nested circles.
Type 4: Mixed or Complex Figures
These involve combinations of different shapes and intersecting lines.
Concept:
- Break the figure into basic shapes.
- Count using layers: Outer → Inner → Overlapping.
- Use symmetry and repetition wherever possible.
Counting of Figures Questions for SSC CGL, Download Free PDF
Here we have provided the questions on counting of figures for SSC CGL exam. You are strongly advised to first understand the concept and then come to the question part. These questions are based on and match the level of SSC exam format. Along with that, we have provided a PDF that contains the detailed solution to these questions.
Question 1: How many triangles are there in the figure given below?

A) 12
B) 13
C) 15
D) 11
Question 2: Find the number of triangles in the given figure?

A) 10
B) 13
C) 11
D) 12
Question 3: Find the number of triangles in the given figure?

A) 19
B) 16
C) 18
D) 17
Question 4: Find the number of triangles in the given figure?

A) 10
B) 11
C) More than 11
D) 9
Question 5: Find the number of triangles in the given figure:

A) Ten
B) Fifteen
C) Fourteen
D) Thirteen
Question 6: Find the number of triangles in the given figure?

A) 10
B) 11
C) 12
D) More than 14
Question 7: How many triangles are in the given figure?

A) 13
B) 11
C) 12
D) 10
Question 8: Find the number of triangles in the given figure:

A) 13
B) 14
C) 15
D) 16
Question 9: Find the number of triangles in the given figure:

A) 13
B) 12
C) 14
D) 10
Question 10: Find the number of triangles in the given figure:

A) 10
B) 12
C) 13
D) 11
Some Tips and Tricks to Solve Counting of Figures Easily
Here, we have provided some tips and tricks to solve the counting of figures easily.
- Use Symmetry to Your Advantage: If the figure is symmetrical (like a square, star, or cross), count shapes on one side or half and multiply accordingly. It will help you in reducing repetitive counting.
- Divide & Conquer Strategy: Split the complex figure into smaller, manageable forms. After doing this, focus on smaller parts one-by-one and count the figures. And at last combine your counting.
- Use Standard Formulas for Grid-Based Questions: Use the formula for squares and rectangles (formulas are provided above, where we have provided the basic concept).
- Look for Overlapping and Hidden Figures: Complex diagrams often contain hidden shapes formed by intersecting lines. After doing this, count visible shapes and look for overlaps that are forming new shapes.
- Use Color Coding (Mentally or on Paper): If allowed to draw/mark, shade or mark counted areas to avoid repetition. This will help you when your diagram overlaps.
Join our exclusive Telegram group for expert guidance, personalized tips, and real-time solutions to boost your SSC exam prep. [Click here to join now!]
| Other Blogs of SSC CGL 2025 | |
| SSC CGL Notification | SSC CGL Syllabus |
| SSC CGL Study Plan | SSC CGL Exam Pattern |
| SSC CGL Cut Off | SSC CGL Preparation Strategy |
| SSC CGL Previous Year Question Papers | |
FAQs: Counting of Figures Questions for SSC CGL
It involves counting shapes like triangles, squares, and rectangles in given complex diagrams.
SSC can ask at least 1-2 Counting of Figures Questions for SSC CGL in the SSC CGL Tier 1 exam.
Due to overlapping shapes and hidden figures, candidates often miscount or double-count unknowingly.
Triangles, squares, and rectangles are the most frequently asked shapes in SSC exams.
Label shapes or use marking techniques to track counted parts and avoid repetition.
- Sign Up on Practicemock for Updated Current Affairs, Topic Tests and Mini Mocks
- Sign Up Here to Download Free Study Material
Free Mock Tests for the Upcoming Exams
- IBPS PO Free Mock Test
- RBI Grade B Free Mock Test
- IBPS SO Free Mock Test
- NABARD Grade A Free Mock Test
- SSC CGL Free Mock Test
- IBPS Clerk Free Mock Test
- IBPS RRB PO Free Mock Test
- IBPS RRB Clerk Free Mock Test
- RRB NTPC Free Mock Test
- SSC MTS Free Mock Test
- SSC Stenographer Free Mock Test
- GATE Mechanical Free Mock Test
- GATE Civil Free Mock Test
- RRB ALP Free Mock Test
- SSC CPO Free Mock Test
- AFCAT Free Mock Test
- SEBI Grade A Free Mock Test
- IFSCA Grade A Free Mock Test
- RRB JE Free Mock Test
- Free Banking Live Test
- Free SSC Live Test



